跳至主要內容
张威的编程学习笔记
c/c++
操作系统
网络编程
MySQL
Redis
算法与数据结构
随笔
工具分享
搜索
Ctrl
K
8进制、10进制、16进制及进制转换
张威
小于 1 分钟
c/c++
c基础
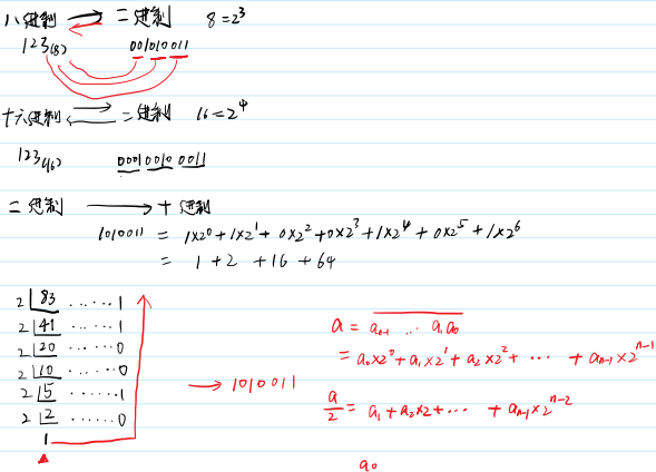
八进制字面值 023
以0作为八进制数的前缀
数码取值为0~7
八进制数通常是无符号数。
十进制字面值 456
十六进制字面值 0x456
image-20231230134403043
上一页
常量
下一页
变量